Aller au contenu

Toute l’activité

Ce flux se met à jour automatiquement

  1. Dernière heure
  2. A moins de 20000kms, vous devriez être tranquille un moment. J'avoue que j'aurais pu rouler encore longtemps avec ce bruit, qui ne gêne en rien la conduite, et ainsi attendre encore un peu avant de changer M/R. En tout cas plus près de la fin de la garantie. Maintenant que tout est enclenché, on verra où cela nous mène. Nous venons de racheter la voiture en fin de LOA, car elle nous satisfait en tout point. On fera peut être plus attention une fois la réparation faite...Je roule surtout en regen 0, et ai pris l'habitude de suivre les recos sur la séquence d'arrêt P/N/F/P...si ça peut aider. Bref, toutes les voitures ont des problèmes à mon sens, au moins avec un VE on fait des économies de carburant!
  3. npir

    Conseils charge e-Niro

    Non, ils devraient plutôt pester contre Tesla qui a mis des câbles trop court (et qui a d'ailleurs corrigé le tir sur V3 et suivant). Je rappel que Tesla a ouvert à tous donc tout le monde a le droit de s'y charger, que cela plaise aux grincheux ou pas.
  4. Ouverture d'une station Izivia à Heillecourt (McDonald's). 2x 150kW CCS Comme d'habitude, retrouvez le lien vers ma carte : https://tinyurl.com/StationsVE Toute l'actu des stations de recharge sur le groupe FB : https://tinyurl.com/GroupeFacebookVE
  5. Ouverture d'une station Izivia à Mamers (McDonald's). 2x 200kW CCS Comme d'habitude, retrouvez le lien vers ma carte : https://tinyurl.com/StationsVE Toute l'actu des stations de recharge sur le groupe FB : https://tinyurl.com/GroupeFacebookVE
  6. marcs

    Nouvelle autonomie CUPRA BORN

    Je pense continuer avec une Born, soit la mienne que je connais mais je dois la racheter à 29840€ ce qui peut sembler cher, mais elle ne m'a couté que 6125€ en location (35 x 175€). Sinon en reprendre une d'occasion, mais je dois encore faire le calcul et voir si c'est intéressant en comptant quelques éventuels frais de remise en état (éclat peinture, jante griffée) et dépassement du kilométrage. Et reprendre une occasion dont je ne connais pas les défauts (l'historique de ses éventuels problèmes technique ou la façon dont elle a été traitée) ne me motive pas plus que ça alors que la mienne je la sais "fiable (même si, on ne sais jamais vraiment). Reprendre une LOA ne me semble pas vraiment intéressant dans le sens ou n'ayant plus de véhicule a revendre, les loyers seront forcément plus cher.
  7. arlequin2k3

    MG 4 2025

    Bonjour , j'ai lu sur un site que MG va sortir un flot de nouveautés qui va se poursuivre jusqu’à la fin de l’année 2026 . Quatre modèles doivent être lancés en Europe d’ici-là. La MG4 restylée sera suivie par trois autos inédites dont deux seront électriques. Ce que j'aimerai savoir est si ce futur modèle sera toujours en propulsion arrière ? Merci de vos réponse .
  8. SYLZe0

    Tavascan : Photos

    Elle a quand même quelque cette Cupra Tavascan! Je dois avouer qye depuis mon test de début d'année, je la garde dans un coin de ma tête. Je vais donc suivre avec attention tous les sujets qui lui dont dédiés ici. Sur Touluse pù je réside une partie de l'année, j'en ai croisé 2 ou 3 tout au plus.
  9. Est ce que votre UMC peut être testé sur un autre véhicule? Si c'est lui qui déconne, ça le sera aussi sur un autre véhicule.
  10. arlequin2k3

    Foire aux questions MG4

    Bonjour ; Une question . Chez moi j'ai une charge de 7,7 kw . Je n'ai pas le droit d'avoir plus en mono .D'ailleurs j'ai 12 KW sur mon abonnement et je devrais passé au dessus . Engie m'a dit que je dois être en triphasé pour mettre un chargeur au dessus de celui que j'ai . Tu me confirmes ce que m'a dit engie ou est ce faux ? Merci de ta réponse .
  11. SYLZe0

    Tavascan : Autonomie

    16.5 kWh, c'est pas mal du tout. Tu as quel type de trajet au quotidien et quel consommation?
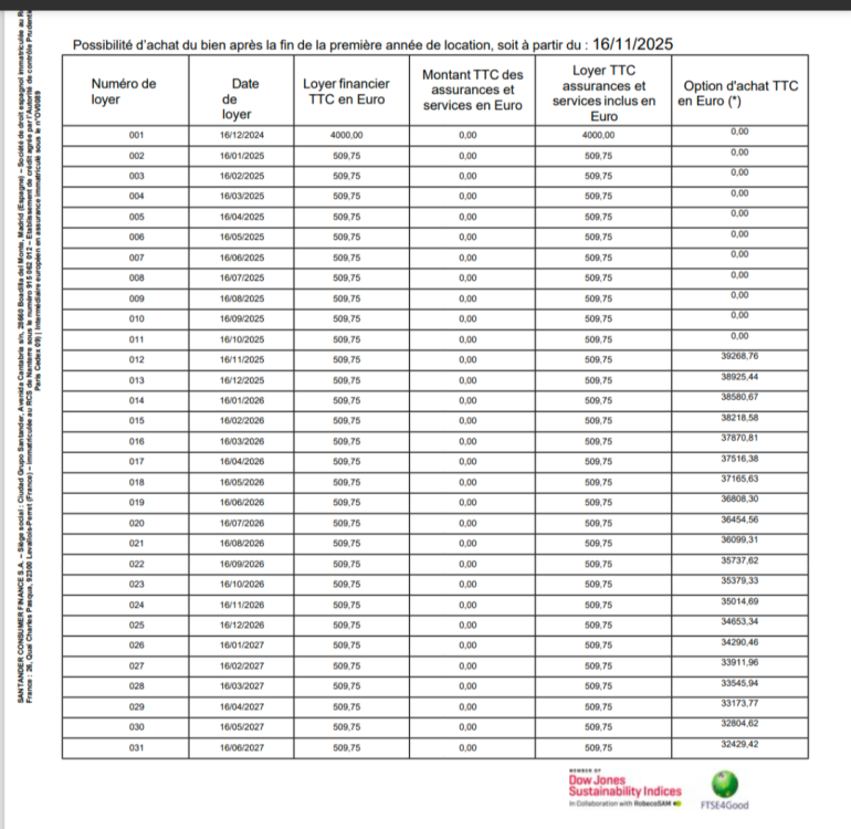
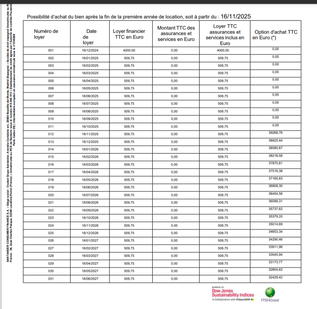
  12. Eh bien nous n'avons pas le même contrat chez Santander. Moi c'est bien noté qu' après un an.
  13. chgros1

    Distribution XPeng en France

    Perso l'odeur de l'huile ne me gène pas mais j'ai une formation ingénieur mécanique. Un atelier ce n'est pas une salle d'opération, il y a du bruit, de la poussière, de l'huile, de la graisse, que la voiture soit thermique ou électrique. Après le local réservé aux clients avec café offert c'est quasiment chez tous les concessionnaires.
  14. Dans ton cas trouve une occasion de 2 ans quand tu changeras ton my 24 par un my26 tu aura en 2028 une version récente de ce qui sortira l’année prochaine sans avoir à débourser beaucoup
  15. Celui qui compte changer régulièrement la LOA peux avoir un intérêt mais sinon sur durée de détention plus longue ce n’est pas rentable. Le mieux est bien entendu de prendre une jeune occasion de deux ans car le plus gros de la décote a été absorbé
  16. Les délais de livraison sont très variables. J'ai commandé la mienne le 19 août et je l'ai reçue le 4 septembre soit seulement 16 jours plus tard. Une veine de cocu 😁!
  17. Il faut que tu cliques sur le petit "i" du bonus puis cocher 3135 euros avant de rajouter les options. Le truc est un peu beugé, si te rajoutes les options d'abord, il enleve (à tord) completement la ligne du bonus ; il ne gere pas tres bien la limite des 47000, qui est hors options. Au fur et à mesure que tu rajoutes les options, il y a plusieurs moments où il faut recocher le bonus 3135 euros.
  18. chgros1

    Abonnement Mobilize Renault

    Non je suis retraité, aucune incitation fiscale, plutôt le contraire... Renault ne demande même pas que le vin concerne une électrique, alors même une Renault 8 ou 12 à la casse fait l'affaire, suffit juste de faire une photo du vin sur le pare-brise si tu es timide.
  19. Aujourd’hui
  20. Je vous invite à lire ma malheureuse expérience à ce sujet : Non on ne vous en donne pas une autre. Votre assureur devra régler le litige avec VW Bank. Vous aurez droit à 90 jours de véhicule de prêt via VW Assistance. Et ça se fera en deux temps, il faudra que l’expertise annonce le véhicule épave avant de débloquer le gros des 90 jours … Concernant votre premier loyer majoré incluant votre apport personnel et d’éventuelles aides de l’état, il faut bien voir cela avec votre assurance. La MAIF couvre le premier loyer majoré à hauteur de 24 ou 25% de la valeur du véhicule. Les assureurs tenant compte du premier loyer majoré sur ces formules locatives ne sont pas légions.
  21. “Pourquoi électrifier nos usages est bon pour notre souveraineté ? 1️⃣ Une voiture thermique ou une chaudière à gaz, c’est 20 ans de dépendance aux importations fossiles. 2️⃣ Une voiture électrique ou une pompe à chaleur, c’est 20 ans d'indépendance énergétique, grâce à une électricité produite en grande partie chez nous. Bien sûr, cela suppose, parfois, d'importer initialement les panneaux solaires, les voitures électriques ou les pompes à chaleur. 3️⃣ Mais contrairement aux énergies fossiles qu’on brûle, ces équipements peuvent être recyclés, chez nous. ✔️ Électrifier, c'est un choix souverain.” https://www.linkedin.com/posts/simonferriere_pourquoi-électrifier-nos-usages-est-bon-activity-7379202104877322240-2_Ti?utm_source=share&utm_medium=member_ios&rcm=ACoAABPob0YBtorDRELEOuHGbxqFzjbn5Je6fYI Voilà pourquoi acheter une voiture thermique neuve est une grosse erreur, de plus on a toujours la possibilité de l’acheter en occasion et de rendre la possibilité au vendeur de lui en acheter une électrique 😁
  22. Bonjour, 12,6 kWh sur 400 kilomètres en région parisienne
  23. messages effacés. Mettre de l'huile sur le feu donne du boulot à la modération d'où le simple avertissement .
  24. Vu les différences de prix, enchaîner les VEs chers neufs, racoler l'entourage pour un VIN Renault histoire de gratter quelques euros et ne pas être en raccord avec les CGV me dépassent un peu... Et je compte pas le temps passé sur le sujet, ça te regarde. Et si tu es un gros rouleur / commercial / etc. tu as forcément le budget vu les économies en carburant et autres incitations fiscales !
  25. Maintenant que tu le dis je pense que je rencontre ce problème depuis cette date aussi (environ). C'est assez contrariant sur le moment. Mais maintenant que je connais le "plan B" plus d'inquiétude. Il y aura peut être un correctif lors d'une prochaine MAJ.
  26. Avec un peu de retard, grand merci pour ton message. Ça me rassure +++ de savoir qu'il y a un moyen de forcer la recharge via le bouton de la télécommande. Est ce que le bouton de fermeture de la trappe a le même effet? Dans la suite de l'histoire, vendredi matin le système n'était plus bloqué et, depuis ma chambre d'hôtel via Bluelink, j'ai pu relancer la charge à la fin de l'heure creuse et annuler la programmation, sans même aller à la voiture. À n'y rien comprendre. J'ai pu repartir à 100% le soir donc au final pas de souci.
  27. À mon humble avis ce n'est pas une fatalité, ouf 😅 Et tu n'es pas seul, loin de là AMHA 😉
  1. Charger plus d’activité




×
×
  • Créer...
Automobile Propre

Automobile Propre est un site d'information communautaire qui est dédié à tout ce qui concerne l'automobile et l'environnement. Les thématiques les plus populaires de notre blog auto sont la voiture électrique et les hybrides, mais nous abordons également la voiture GNV / GPL, les auto à l'hydrogène, les apects politiques et environnementaux liés à l'automobile. Les internautes sont invités à réagir aux articles du blog dans les commentaires, mais également dans les différents forums qui sont mis à leur dispositon. Le plus populaire d'entre eux est certainement le forum voiture électrique qui centralise les discussions relatives à l'arrivée de ces nouveaux véhicules. Un lexique centralise les définitions des principaux mots techniques utilisés sur le blog, tandis qu'une base de données des voitures (commercialisées ou non) recense les voitures électriques et hybrides.